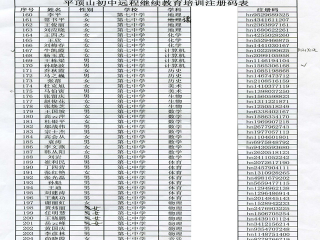
2011年度初中教师岗位远程培训参训人员名单
上一篇:教师远程培训登录注意事项
下一篇:11-12学年上学期第一周教研处各项工作情况汇总
网站首页 | 校园动态 | 党建之窗 | 名师风采
版权所有:平顶山市第七中学 技术支持:平顶山市电子政务外网运维中心 电话:0375-6188978
校长邮箱:pdssyzfz@126.com ICP证号:豫ICP备2020034583号-1 地址:平顶山市新华区大香山路第七中学